1. 준비 하기
◦ 실험 1 : 스탠드. 뷰렛, 물그릇, 초시계, 계산기, 줄자
◦ 실험 2 : 스탠드, 시간기록계, 추, 종이테이프, 50cm자, 계산기, 집게
◦ 실험 3 : 스탠드, 실, 추(구형), 초시계, 줄자, 계산기
2. 학습 목표
① 자유 낙하 운동이 등가속도 운동임을 안다.
② 중력 가속도를 측정하는 원리를 이해한다.
③ 중력에 의한 운동을 이해한다.
3. 실험 내용
[실험 1] 물방울을 이용한 중력 가속도의 측정
① 아래 그림과 같이 책상 위 스탠드에 물을 채운 뷰렛을 장치하고, 뷰렛 아래에 그릇을 놓는다.

② 앞의 물방울이 물그릇에 떨어지는 순간 다음 물방울이 뷰렛의 끝에서 떨어지도록 뷰렛의 밸브를 조절하고 뷰렛의 끝과 수면 사이의 거리를 측정한다.
③ 뷰렛에서 20개의 물방울이 떨어지는데 걸리는 시간을 측정한다.
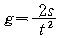
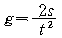
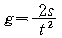
④ 낙하 거리

의 관계식을 이용하면 중력 가속도

이다.
| 낙하거리(s) | 20개 물방울이 떨어지는 시간(초) | 1개 물방울이 떨어지는 시간(t) | 중력가속도 | ||||
| 1회 | 2회 | 3회 | 4회 | 평균 | |||
| m | 초 | ㎨ | |||||
[실험 2] 자유 낙하를 이용한 중력 가속도의 측정

①그림과 같이 스탠드에 진동수 60Hz의 시간기록계를 장치하고, 추를 매단 종이테이프를 시간기록계 사이에 끼운다.
② 시간기록계를 작동시키면서 종이테이프를 놓아 추의 낙하 운동을 종이테이프에 기록한다.
③ 종이테이프를 6타점 간격으로 구분한 후, 각 구간의 평균 속도를 먼저 구하고 평균 속도의 차이로부터 중력 가속도를 구한다.
※ 종이테이프 앞부분의 타점은 뭉쳐진 구간은 생략하고 타점 구분이 명확한 지점부터 1구간 시작점으로 잡아도 된다.
| 구간 | 1구간 | 2구간 | 3구간 | 4구간 | 5구간 | 6구간 | 7구간 | ||||||
| 구간거리(cm) | |||||||||||||
| 구간거리 차이 | |||||||||||||
④ 구간거리 차이 평균값 :
⑤ 중력가속도 계산
* 구간거리 차이가 가속도 값이다.
* 6타점=0.1초이다.
* 중력가속도 = ㎨
[실험 3] 진자의 주기를 이용한 중력 가속도의 측정
①아래 그림과 같이 스탠드에 실로 추를 달아 진자 운동을 시킨다.

② 진자가 20회 왕복 운동하는 시간과 실의 길이( )를 측정한다.
※ 실의 길이는 추의 중심까지 거리를 측정한다.
③ 진자의 주기에 관한 식

를 이용하면 중력가속도

이다.
| 실의 길이(l) | 20회 왕복하는 시간(초) | 주기(T) | 중력가속도 | ||||
| 1회 | 2회 | 3회 | 4회 | 평균 | |||
| m | 초 | ㎨ | |||||
[토의하기]
① 각각의 실험에서 구한 중력가속도를 정리해 보자.
| 실험 | 실험1 | 실험2 | 실험3 |
| 중력가속도(㎨) |
② 서울의 중력가속도(9.799㎨)값과 가장 근접한 결과가 나온 실험과 가장 오차가 심한 실험은 어느 것인가?
③ 각 실험에서 오차의 원인은 무엇이라고 생각하는가?
4. 관련 이론
(1) 중력장과 중력 가속도
1) 중력장 : 지구상의 모든 물체는 항상 지구가 끌어당기는 힘(중력)을 받고 있다. 이와 같이 지구(일반적으로는 질량을 가진 물체) 주위에는 지구(물체)의 중력이 작용하는 공간이 형성되는데 이를 중력장이라고 한다.
2) 중력 가속도 : 공기의 저항을 무시하면 지표면 근처에서 자유 낙하하는 물체는 물체의 종류에 관계없이 모두 동일한 가속도로 낙하하는데 그 가속도를 지구 중력 가속도라고 하며
로 나타낸다. 지구 중력 가속도는 위치에 따라 조금씩 다르나 평균
이다.
3) 지구 중력에 영향을 미치는 요인 : 지구와 지구 위의 물체 사이의 만유인력이 가장 큰 영향을 미치고 다음으로 지구 자전에 의한 원심력이 큰 영향을 미치고 있다. 이 밖에 해면으로부터의 높이, 지구 내부의 물질, 지구의 모양 등에 따라서 중력 가속도의 값이 다르다.
4) 위치에 따른 중력 가속도
| 장 소 | 위 도 | 중력 가속도(m/s2) |
| 북 극 | 90°N | 9.832 |
| 그 린 랜 드 | 70°N | 9.825 |
| 파 리 | 49°N | 9.810 |
| 뉴 욕 | 41°N | 9.803 |
| 서 울 | 37°N | 9.799 |
| 파 나 마 운하 | 9°N | 9.782 |
| 적 도 상 | 0°N | 9.780 |
(2) 무중력 상태
무중력 상태란 중력이 없는 상태가 아니다. 중력이 없으려면 주위에 물체가 전혀 없어야 하는데 이 우주 공간에 그러한 곳이 없기 때문이다. 대신 과학자들은 중력을 상쇄시킬만한 힘이 있어서 중력을 느낄 수 없는 상태를 무중력 상태라고 한다. 예를 들어 지구 주위를 도는 인공위성 내부에서는 지구의 중력과 원심력이 평형을 이루기 때문에 중력을 느낄 수 없는 무중력 상태이다. 또한 자유 낙하하는 엘리베이터 안에서도 지구의 중력과 관성력이 평형을 이루기 때문에 중력을 느낄 수 없는 무중력 상태이다. 지구와 달 사이에도 지구의 중력과 달의 중력이 평형을 이루어 중력을 느낄 수 없는 곳이 있다.
(3) 중력에 대한 아리스토텔레스의 생각
아리스토텔레스는 운동을 두 종류, 즉 자연적인 운동과 강제적인 운동으로 분류하였다. 자연적인 운동은 물체의 본성으로부터 출발한다. 아리스토텔레스의 관점에서 본다면 우주의 모든 물체는 이 본성에 의해 결정되는 적절한 장소에 있게 된다. 적절한 장소에 있지 않은 물체는 그와 같은 장소에 도달하고자 할 것이다. 지상에서 존재해야 할 받쳐지지 않는 진흙덩이는 당연히 땅에 떨어질 것이며, 공기 중에 있어야 할 방해받지 않는 연기는 당연히 상승하며, 지상과 공기 속에 있지만 주로 지상에 존재하는 깃털은 당연히 땅에 떨어지지만, 진흙 덩어리처럼 빨리 떨어지지 않는다. 즉, 물체는 자신의 무게에 비례하는 속도로 떨어진다고 생각되었다. 자연적인 운동은 지구상의 모든 물체는 직선으로 올라가거나 내려오는 운동이며 천체일 경우에는 원운동일 것이다. 왜냐하면 그는 원운동과 하늘은 둘 다 시작과 끝이 없는 것으로 생각했기 때문이다. 따라서 행성과 별들은 지구에 대해 완전한 원운동을 한다. 이러한 운동은 자연적인 것이기 때문에 운동의 근원이 되는 힘은 필요 없다고 생각하였다. 아리스토텔레스는 하늘에서는 다른 법칙이 적용된다고 믿었으며 천체는 에테르라고 불리는 완전하고 변하지 않는 물질로 이루어진 완전한 구라고 주장하였다
댓글